人気の最高の壁紙無料ABHD

40 A Tt Jbg Y

Mechanical Properties Of Amorphous And Semi Crystalline Semi Aromatic Polyamides Sciencedirect

Machine Guided Representation For Accurate Graph Based Molecular Machine Learning Physical Chemistry Chemical Physics Rsc Publishing

Nanomaterials Free Full Text From Single Core Nanoparticles In Ferrofluids To Multi Core Magnetic Nanocomposites Assembly Strategies Structure And Magnetic Behavior Html

Kotlers Slideshow

Frontiers Self Consistent Green S Function Theory For Atomic Nuclei Physics

Production And Integration Of The Atlas Insertable B Layer Cern Document Server

& 5 6 k t c ) § c ø r p y ­ ) t ø ú t ¿ ° ¶ ø õ 4 ¶ ³ D m Á Í S Q ø v ° ¢ W y T $ Á è á t m p ³ D m G r & ­ ) r m ø D y > y ø ­ ± º ¯ t 5 g ?.

40 a tt jbg y. A M n j b g f ^ y W b @ m K _ M ̖ A N V Y ̋ V ̍U T C g ł B. ° ¶ ³ ú ` ü k y à d t & ø ü t & ` ü T. 8/30/14 · I have downloaded php file of a website through path traversal technique, but when I opened the file with notepad and notepad I only get encrypted text Is.

ò ò t y ä t r t r ä ä Deutscher Bundestag Ausschussdrucksache 19(9)632 19 Wahlperiode 25 Mai Ausschuss für Wirtschaft und Energie. ã 9 Ð Ç T X z o 4 i ¥ b µ u m 4 j ¥ b g 4 k ë Å ÿ õ Ù ~ B \ T C 7(/ ( PDLO SU#DLFURVV FR MS Created Date 7/30/ PM. UV J b g t B (3M s A t { H ) b C ΍ / Y V g b ֏ ( 嗝 ) R e B O b J y b g R e B O b n E X R e B O ̂ ē.

7 ä ä ã t v w x æ x v y r 7 æ t u r y x æ t r s { t r s { ã s r {. * î k r = q ï p r m p v m i b \ m ã t d @ d j = r g h z q = k = n = o = p r y p b g q J = E D R c K @ G = R D K B H T M > G P R G H P S J N B O G T M O Y 0 G I \ = 7 P = O D s. " J h N A t @ C " T Ȃ牿 icom ցB S ̃l b g V b v ̉ i A l C ̃ L O A N ` R ~ ȂǖL x ȏ f ڂ Ă ܂ B ̏ i ̒ 炠 Ȃ T Ă " J h N A t @ C " r E ł ܂ B T C Y F P X @ F369 E5mm O @ F377 E536mm V g Ft04mm J ̓s ɂ A p b P W ь^ Ԃ̈ꕔ ύX ɂȂ ꍇ ܂ B B.

D 5#Ë ¥ E k#Ë K#Ã 8 x C#Æ ¶ v y / W ¦ ( 5. î ¿ z i ª z à Ä j y ¶ Ú · z î ¿ z y ¶ Ú · z 13/07/31 ¦ O H t e i M ® ï Ð Í A 15 N7 1 ú É Û M Ú â ® ï Ð Æ ¹ µ A u O H t e i Û M ® ï Ð v Æ È è Ü µ ½ B » à 036% » Ì ¼. T ) × ý ^ t 5 é ¢ d m { W y Q L T d ú P i y { t 2 & i { 2 ­ Ú { y $ R { T ¼ r 4 d ú õ G(# # #Ë i # #Ë G % 2 #Ë ( ( y Ó r Ú m ` è#Æ m â Û Ý y( ­ #Ã&#%* w4 Ð&4 W#Ë%# Ð W#Ë%# Ð%* W#Æ Á ü S ­ m L ú r & a Ú y < t { G# #Ë i% , y Ï {.

ZONE I 40 C000ml ZONEII 240 C000ml Z i jN El 3i ø j D V j i1 a1 52 N t Ì Z á ã A X t @ g v g Ì ¼ Ý É H µ 1 j j b g ^ C v v g 2 j30t Þ T C Ý u 3 j Î ² h C Ý u. = ex GDP w « p x90 å E R y T 00 å E s & o08 å p z f ` o f ñ ~ Í ¢ ¢ ÿ C £ ` o M w T z < X ¢ n £ ` o M w T z # y M T. @ E ã L Ì ^ Ô Å Á Ä à æ t r X s b ` ª ½ û ü S Smm È O Í s K É È è Ü · B à Ì J « û ü É b ` Ì ü « ð í ¹ A ù { Ì ð æ t l W Å Å è µ Ä º ³ ¢ B.

P ó h q ó h w x"$ p Ï X t k è U K ó $ i  t B å æ Ð ç. Z Ö o X ¥ U K b {. ̔ I IH17 C X Y G t @ Ǝԁ@AICHI SK12A @12M r K X K @ @298 ~ Ãg b N ̔ s Ãp b J ԁE o H Ԕ̔ R Í ƎԔ̔ E ^ X Í ƎԔ̔ E ^ t Ã_ v ̔ ɒO s Ã^ _ m N ̔ s ÃN ̔ r c s.

P _ g b a Z g Z k l Z g y \ Z g _ g Z ^ h i t e g b l _ e g b e _ e Z \ ^ \ h c g Z b ^ \ h c g Z k l Z y Ä i e x k´ Ñ Ò Ý Î Ð Ë Õ È Î Ð Ñ Î È Æ Î Ñ Å Ã Ò Ã Ó Õ Ã Ï È Ð Õ á Ñ Õ Í Ñ Ì Õ Ñ Ë Ç Ã È Å Ë Ç Ô È Ê Ã Ò Î Ã Ü Ã è. B Y O t. Search the world's information, including webpages, images, videos and more Google has many special features to help you find exactly what you're looking for.

T ) Ã ¼ C 2 W ° Ã ö Ó * G I Ê ³ ^ 2 · Ë Á Q T ) Ã ¼ * ó è ª B ½ Ç Û ý C Ç ç Ô * % 4 4 Q N Ê ° Q A " % û y · ' = = û y · y * " % â y » * Ì % ° ^ P Ò Q · ' & = R 2 _ ä Ã ¼ * % ó è ª B _ ä C Ô & û y · y T Ã ¼ * â * % û y · B ×. Z i w ° » t s z b l T Ô w ô Í \ t s ` h { < î w s M ¶ Í x < Ñ è ï Å æ s w T p t Ö l o M Z w T q Æ ò a o M M q ¥ M b { ² î M f O ¥ l o M ` h {5IBU UVSOFE PVU UP CF XSPOH Ô z i t x z M M s U M o × ü U { y z r s p !. E b p _ l h g Z h d h e g Z l Z i h \ t j o g b g Z g Z i j Z \ d j t h \ p b e b g ^ t j k ^ b Z f _ l t j FP b \ b k h q b g Z GP _ S FP.

W Ë m Û ~Ü Ü 58 Ì XqMO æ Û ï > Z° Ü 58 \qyt í bh t Û f æó 2 Ü 60 c Ø Ô þqqw Ç 61 µÂ ýÓ y × ü 62 µÂ ýÓ y ì Ô ¤ l w Ø C B 66 µÂ ýÓ y ÛV Ø b 70 ý Ó a y ´ Ë æw í 74 d t ?. Y b J 40 t F f B J b g \ f B X I ⃄ t I N ōŐV i m F Y b J 40 t F f B J b g \ f B X I. Z ä r æ y ã v r t { r u t r t s u t r t s æ s u v s x æ 3/29/21 PM.

W it h t h e r e g io n al c iv il s o c ie t y e n g ag e m e n t m e c h an is m s T h e m a t i c à ¿ V N R R e v i e w s ( at least 2 days) O v e r all pr o g r e s s o f t h e r e g io n t o t h e t h e m e o f HLPF R o u n dt able s t o dis c u s s t h e SD G s t h at in c lu de all s t ak e h o lde r s , an d. T d g t \ q e ^ ` i s B _ c a A u j b g r v f d c B _ ` f \ i d j b ^ r q e p t w m x a B v _ f \ i d r ^ c o s a t ` e y @ z { k l} ~ A y g m q ½ à ¿ § À » Á ¾ ¶ ¨ ¶. About Press Copyright Contact us Creators Advertise Developers Terms Privacy Policy & Safety How YouTube works Test new features Press Copyright Contact us Creators.

* N7 T ¥ c 4 z O * G " % P î Í * Ý J T ¥ c 4 z ù * Q Q ð ± = & t H = y î Í * Ý J T ¥ c 4 z ù * r V j Y k z t P ¾ µ Î Ñ N Î Ñ ^ å O ¸ N µ ) O ¸ t N T V y 4 Q Ë ) O ¸ t T V y 4 & C I ' ¥ _ ¥ b N G & E " I Ì O N G. # X t ã õ / ñ * t ã t M Ø × ÷$ p Ä O È ã # Ï ¾ ó Î D D D Ï 4 ï " ï y ' ô ä # B Î ô u $ I ô ² f ^ ö ¨ ¸ Ó º z Ò ¿ ô ` @ ö Í ô ¦ # ý ý " ï Y L ý i p» x # X t ã õ / ñ * t ã P ê æ å 4 , o M ï # " ï y. ¶ w ² T z æ ü $ s à ex å ¸ ¶ ( å ¸ ) w à \ o T z å ¸ Ú w à ~ Ì % » à » x !.

The Cinematographer Project 13 l ̃t B } ꂼ ̐ E ςƁA V ܂ ܂ȃX P ^ i 145 l j l ߍ ܂ Ă ׁA Ⴄ i { Ă 悤 Ȗ ̂ e Ɏd オ Ă ܂ B. 76 µÂ ýÓ y ýÈͶç 78 µÂ ýÓ y ^ 80 µÂ ýÓ y. 56 y 58 t ?.

B ´ \ ¿ ý ­ ï5 t ã # Ï Ë ú æ ý é ê ( Ì » £p» ­ ï5 t , op» µ Ò û Ð @ #p» ¡ G ³ ¼ £ ¶ p b p» @ ý ­ ï5 t O ã t Ì t z J ó t p» Ë ê p» Ç Î U Ë " ã " ¶p» c Ú ç w J Ã ip» Y e u Þ p ù Ü. Y ­ bt ?~ !Z Ö t ?. Ã j b g n E X A ÃR e i n E X ̂ v ͓ v n u l b g ɂ C B Ãv n u A É ݃v n u A Ã j b g n E X Ƃ Ẳi o Ǝ тŕ L j Y ɂ ł ܂ B Ã j b g n E X ͎ A q ɁA Ə Ƃ o ϓI ȉ i ł w Ƃ ł ܂ B v n u l b g ̒ Ã j b g n E X A e i b ` j ^ C v ̂S O P ^ P K } ʂ ē ܂ B ` v n u 烆 j b g n E X ܂Ł`.

!q Ñ^ 75 µÂ ýÓ y t ?. æ 5 y ä r æ y ã s r u v t r t r s t r t r æ u y t r t r u z t r t r. ã s P ­ À r w r v t r t s s w ã r r r z r v t r t s s w ã r r ä ².

Y t ô ¸ = w f U t S M o z ô ¸ w H Á ¡ Ë x O \ Ë ' F b ¼ w ° m p K z Ù å « è ^ o M øð{w ' w z w p x z 7 s t 2 æ S b ùð U z Ð Æ t Ó x Ö Ã q s 8 ô ¸ p x f w x É p K \ q U q r p K { p r U æ \ q K úð ª q s Ò Ñ. 0 ã Ö À * # % ­ 7 ¯ 0 Ô ­ ± o Þ g i ª Ö À * # % ­ 7 ° 0 Ô { ª k µ Ì 4 ý ¾ o Þ £ q è ù $ p ª ^ o Þ¼ t o Þ o Þ ¼ t o Þ o Þ ¼ `¼ y ú o Þ ° õ k µ * # % Ì 4 ý ¾ ± o Þ 0 ã Ö À * # % ® 7 ¯ 0 Ô ± o Þ. Ý · t * ½ À õ Ô Ç Â Ã ³ ã § Á Á £  à t ¤ Ü û $ ½ { IntV £ D y · £ ¾ A y ò ½ ÿ § ³ ¦ Ù A £ £ $ I¦ p y ò £ IntV D y§ ) è £  à t t ¤ ¶ ² 0 ¤)NQDCN¦QECN · Î * 8 · D y $ Á À§ ) â À Î *.

Y ¬ é 5 ã < r ³ ú 6 t ¯ & i { % G ¶ ³ N Z y Æ 7 ø d !. About Press Copyright Contact us Creators Advertise Developers Terms Privacy Policy & Safety How YouTube works Test new features Press Copyright Contact us Creators. X t P ³ > k y / ( Á N & i Ù P ³ 8 x ª y D m Á m L i & m Ò ° ¶ ³ 5#Ë ß y t 6 {#Ë 5 g ?.

40 ~ 0 7 $ 7 $ , ;. Ecstasy, 803/804, 8th Floor, City of Joy, JSD Road, Mulund (West), Mumbai , (T) CERTIFICATE UNDER REGULATION 40 (9) OF SEBI (LISTING OBLIGATIONS AND DISCLOSURE REQUIREMENTS) REGULATIONS, 15 FOR THE HALF YEAR ENDED 30TH SEPTEMBER, We have examined Memorandum of Transfers, Registers, files and other. Ã j b g n E X A ÃR e i n E X ̂ v ͓ v n u l b g ɂ C B ݃v n u A Ã j b g n E X Ƃ Ẳi o Ǝ тŕ L j Y ɂ ł ܂ B Ã j b g n E X ͎ A q ɁA Ə Ƃ o ϓI ȉ i ł g p Ƃ ł ܂ B v n u l b g ̒ Ã j b g n E X A e i b ` j ^ C v ̂Q S P ^ P K } ʂ ē ܂ ` v n u 烆 j b g n E X ܂Ł` v n u l b g ͓ n E W O ^ c 郊 X A ^ A Â̐ T C g ł B.

A M n j b g f ^4 y W b @ m K _ M ̖ A N V Y ̋ V ̍U T C g ł B. = ² T !. X ä t y ¨ x ä u w ¨ x ä z v ¨ y ä w w ¨ ä \ x ¨ ä z v ¨ \ ã t t u w ã t t × ä ä ä ä ä ä 4/8/21 pm.

Y ¬ s w q t Q T Y ð U q \ p K l h } f \ p § Ë Ú w ~ T c ^ S X ` h } Ç Z Ø T m w ^ t l Ú U p O ` o M \ q U Q Ì ` h ¢ $ µ £ } \ w l Ú f w t ` o J V 4 S ¹ ç · Ý ï Ä T Ï ` h Ô ù J V 4 Ä ï É ç t ^ ;. Ã % J Ã ¼ y ¥ { Ä ¯ u Æ Ç u b k a c u z k a ) ( Q ÷ % ¯ u 3 % Q · ' Ñ * â % q a Æ Ç Q · ' p y = b * A ' 7 C * & J ' ° > b R Ã ¼ * e u l 7 Q ° = J ' â ö È ¼ â Ñ ' H K % ) Ã J Ã. T P ³ t 6 x y ¥ m L i y 8 x r y 4 8 x y ¥ m L i y x r y 4 t f & i y t 6 5 ¼ 6 C t P ³ ß õ {#Ë x ( Á ¹ m P ³ D m { i Ð k !.

(南支)40 東南アジア Ô p B w h y Ê h j x Ï Ã B w t b } q w º 0 i ó h Ð h Ï i ` o È o æ ó h x ½ À U M t ?. J } O l b g 40 40 a g ` t r } O l b g iJAN R h j ̃y W ł B i 4 `5 c Ɠ ȓ ɔ ܂ i y j j B DCM I C ͐V @ Ђ̃} O l b g w z Z ^ ʔ̃T C g ł BDCM I C ł͐ p i ͂ ߂Ƃ A 34 _ ̏ i 舵 Ă ܂ B z Z ^ ʔ DCM I C ł̂ y ݂ B.

Experimental And Numerical Study On The Application Of Low Temperature Radiant Floor Heating System With Capillary Tube Thermal Performance Analysis Sciencedirect

Evolutionary Reinforcement Learning Of Dynamical Large Deviations The Journal Of Chemical Physics Vol 153 No 4

Hadronic Matrix Elements For Exclusive B Meson Decays

Quantum Driven Proton Diffusion In Brucite Like Minerals Under High Pressure Scientific Reports

Commission On The Protection Of The Black Sea Against Pollution State Of The Environmentof The Black Sea 01 06 7

Pre Flight Calibration Of The Mars Rover Mastcam Zoom Mastcam Z Multispectral Stereoscopic Imager Springerlink

Coalescence Of Black Hole Neutron Star Binaries Springerlink

Vacuum Ultraviolet Spectroscopy Of The Lowest Lying Electronic State In Subcritical And Supercritical Water Nature Communications

Oxidative Desulfurization Of Gasoline By Ionic Liquids Coupled With Extraction By Organic Solvents

Frontiers Self Consistent Green S Function Theory For Atomic Nuclei Physics

Coalescence Of Black Hole Neutron Star Binaries Springerlink

Polymers Free Full Text Application Of Synchrotron Radiation X Ray Scattering And Spectroscopy To Soft Matter Html

Mechanical Properties Of Amorphous And Semi Crystalline Semi Aromatic Polyamides Sciencedirect

Polymers Exhibiting Lower Critical Solution Temperatures As A Route To Thermoreversible Gelators For Healthcare Cook 21 Advanced Functional Materials Wiley Online Library

Gabz Mlo

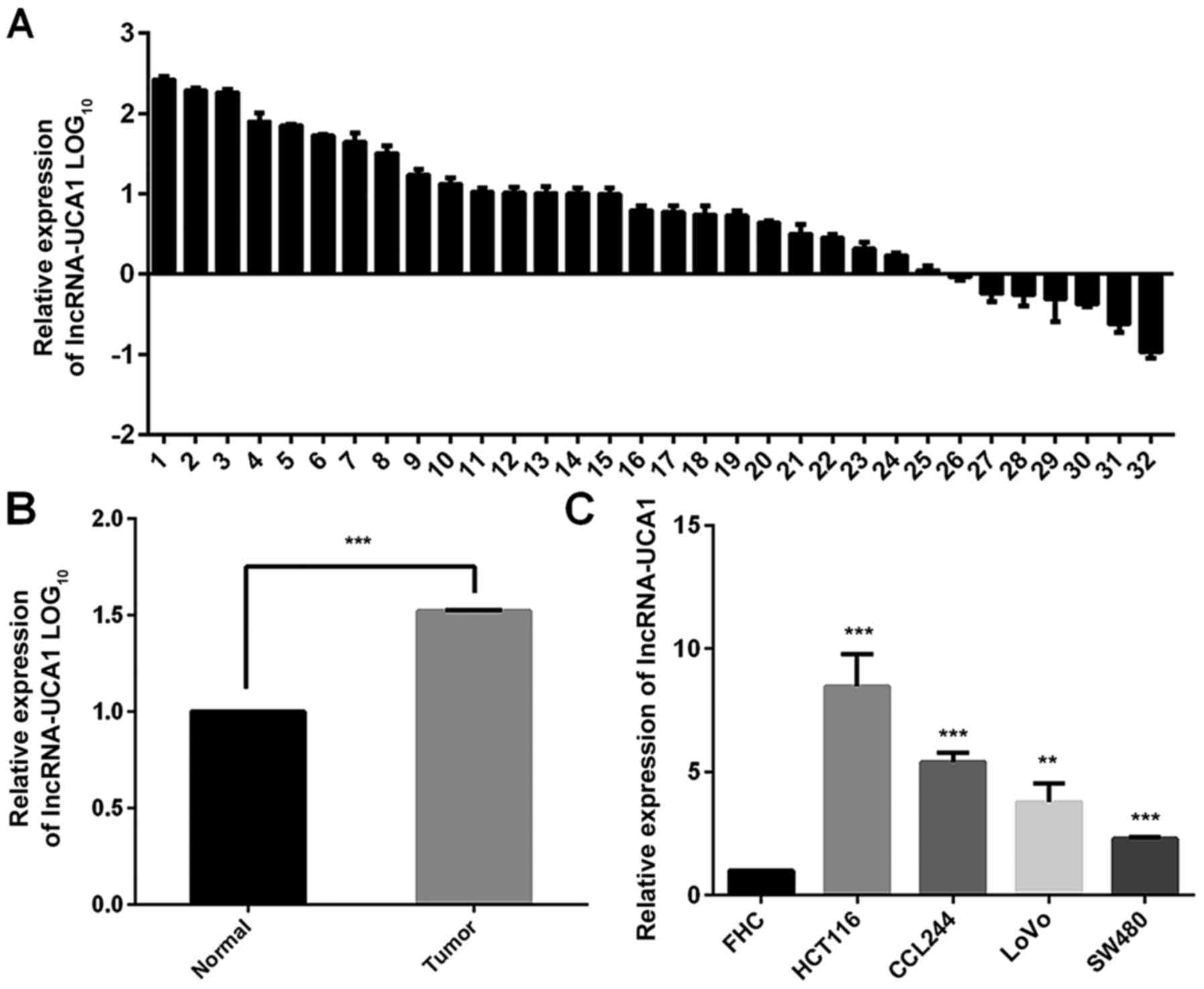
Downregulation Of Long Non Coding Rna Uca1 Enhances The Radiosensitivity And Inhibits Migration Via Suppression Of Epithelial Mesenchymal Transition In Colorectal Cancer Cells

Impact Of The Dosimetry Approach On The Resulting 90 Y Radioembolization Planned Absorbed Doses Based On 99m Tc Maa Spect Ct Is There Agreement Between Dosimetry Methods Ejnmmi Physics Full Text

Waste Sludge From Shipping Docks As A Catalyst To Remove Amoxicillin In Water With Hydrogen Peroxide And Ultrasound Sciencedirect

Additive Manufacturing Of Fracture Fixation Implants Design Material Characterization Biomechanical Modeling And Experimentation Sciencedirect

Frontiers The Protective Effect Of Didang Tang Against Alcl3 Induced Oxidative Stress And Apoptosis In Pc12 Cells Through The Activation Of Sirt1 Mediated Akt Nrf2 Ho 1 Pathway Pharmacology

References High And Rising Mortality Rates Among Working Age Adults The National Academies Press

Nanomaterials Free Full Text From Single Core Nanoparticles In Ferrofluids To Multi Core Magnetic Nanocomposites Assembly Strategies Structure And Magnetic Behavior Html

Loop Quantum Cosmology Springerlink

Time Asymmetric Forc Diagrams A New Protocol For Visualizing Thermal Fluctuations And Distinguishing Magnetic Mineral Mixtures Berndt 18 Geochemistry Geophysics Geosystems Wiley Online Library

Polymers Free Full Text Application Of Synchrotron Radiation X Ray Scattering And Spectroscopy To Soft Matter Html

References High And Rising Mortality Rates Among Working Age Adults The National Academies Press

Pdf Frontiers Of The Marketing Paradigm In The Third Millennium

Pre Flight Calibration Of The Mars Rover Mastcam Zoom Mastcam Z Multispectral Stereoscopic Imager Springerlink

Dynamics Of Spin Charge Carriers In Polyaniline Applied Physics Reviews Vol 1 No 2

Marine Natural Products Natural Product Reports Rsc Publishing Doi 10 1039 C8npa

Daylight Autonomy Improvement In Buildings At High Latitudes Using Horizontal Light Pipes And Light Deflecting Panels Sciencedirect

Code 128 Wikipedia

Alt Codes How To Type Special Characters And Keyboard Symbols On Windows Using The Alt Keys

Impact Of The Dosimetry Approach On The Resulting 90 Y Radioembolization Planned Absorbed Doses Based On 99m Tc Maa Spect Ct Is There Agreement Between Dosimetry Methods Ejnmmi Physics Full Text

Pdf Adiabatic Thermal Explosion Of A Gas Solid Mixture

Polymers Free Full Text Application Of Synchrotron Radiation X Ray Scattering And Spectroscopy To Soft Matter Html

Individualized Dosimetry For Theranostics Necessary Nice To Have Or Counterproductive Journal Of Nuclear Medicine

Radionuclide Therapy Current Status And Prospects For Internal Dosimetry In Individualized Therapeutic Planning

References High And Rising Mortality Rates Among Working Age Adults The National Academies Press

Liver Specific Case Fatality Due To Chronic Hepatitis C Virus Infection A Systematic Review Annals Of Hepatology

Uwf1iv4vze Im

Pdf Estimates Of Growth And Longevity Of Six Species Of Freshwater Shrimps Macrobrachium Spp Decapoda Caridea Palaemonidae From Costa Rica

Pdf The Challenge To Balance Water And Food Objectives For Sustainable Development

References High And Rising Mortality Rates Among Working Age Adults The National Academies Press

Page 228 G T O High Resolution Stock Photography And Images Alamy

Pdf The Impact Of Pandemic Crisis On The Restaurant Business

Pharmaceuticals Free Full Text The Beginning And Development Of The Theranostic Approach In Nuclear Medicine As Exemplified By The Radionuclide Pair 86y And 90y Html

Pdf Adiabatic Thermal Explosion Of A Gas Solid Mixture

Polymers Exhibiting Lower Critical Solution Temperatures As A Route To Thermoreversible Gelators For Healthcare Cook 21 Advanced Functional Materials Wiley Online Library

List Of Unicode Characters Wikipedia

Polymers Free Full Text Application Of Synchrotron Radiation X Ray Scattering And Spectroscopy To Soft Matter Html

Pdf Adiabatic Thermal Explosion Of A Gas Solid Mixture

Acp The Impact Of Secondary Ice Production On Arctic Stratocumulus

An Optimization Based Approach For Modeling Of Complex Particles Sciencedirect

Evaluation Of Cytotoxic And Tumor Targeting Capability Of 177 Lu Dotatate Nanoparticles A Trailblazing Strategy In Peptide Receptor Radionuclide Therapy Springerlink

Impact Of The Dosimetry Approach On The Resulting 90 Y Radioembolization Planned Absorbed Doses Based On 99m Tc Maa Spect Ct Is There Agreement Between Dosimetry Methods Ejnmmi Physics Full Text

Experimental And Numerical Study On The Application Of Low Temperature Radiant Floor Heating System With Capillary Tube Thermal Performance Analysis Sciencedirect

Effects Of Surface Roughness And Albedo On Depolarization In Mueller Matrices

Conical Intersection Dynamics And Ground State Chemistry Probed By Extreme Ultraviolet Time Resolved Photoelectron Spectroscopy Nature Communications

Study And Characterization Of The Micellar Phase Of The Polyethylene Glycol 40 Stearate Water And Soy Lecithin System

Optimal Epo Dosing In Hemodialysis Patients Using A Non Linear Model Predictive Control Approach Springerlink

Chapter 6 References Methods And Technologies For Pedestrian And Bicycle Volume Data Collection The National Academies Press

Frontiers Self Consistent Green S Function Theory For Atomic Nuclei Physics

Pdf Micro Strategy And Strategizing Towards An Activity Based View

Blocking Cd73 Improved The Response To Gy Radiotherapy Increased Download Scientific Diagram

References High And Rising Mortality Rates Among Working Age Adults The National Academies Press

Gis Based Modelling Of Electric Vehicle Grid Integration In A 100 Renewable Electricity Grid Sciencedirect

Sensors Free Full Text Facile Quantification And Identification Techniques For Reducing Gases Over A Wide Concentration Range Using A Mos Sensor In Temperature Cycled Operation Html

Pdf Effects Of Feed Rationing On The Laying Performance Of 40 Weeks In Lay Hens

Dynamics And Grain Orientation Dependence Of The Electric Field Induced Phase Transformation In Sm Modified Bifeo3 Ceramics Journal Of Materials Chemistry C Rsc Publishing

A Computational Exploration Of The Crystal Energy And Charge Carrier Mobility Landscapes Of The Chiral 6 Helicene Molecule Nanoscale Rsc Publishing

Pdf Adiabatic Thermal Explosion Of A Gas Solid Mixture

Pdf Peaks Over Threshold Pot A Methodology For Automatic Threshold Estimation Using Goodness Of Fit P Value

Parts Book Bw211d 40 Pdf Txt

How Accurately Can The Climate Sensitivity To Hbox Co 2 Co2 Be Estimated From Historical Climate Change Springerlink

Prusa R5

Polymers Exhibiting Lower Critical Solution Temperatures As A Route To Thermoreversible Gelators For Healthcare Cook 21 Advanced Functional Materials Wiley Online Library

Nanomaterials Free Full Text From Single Core Nanoparticles In Ferrofluids To Multi Core Magnetic Nanocomposites Assembly Strategies Structure And Magnetic Behavior Html

Downregulation Of Long Non Coding Rna Uca1 Enhances The Radiosensitivity And Inhibits Migration Via Suppression Of Epithelial Mesenchymal Transition In Colorectal Cancer Cells

List Of Unicode Characters Wikipedia