人気の最高の壁紙無料ABHD

Freebookbd Galpo Samagra By Rabindranath Freebookbd Com Page 1586 1587 Created With Publitas Com

Newfoundland Quarterly 1912 13 Iommili A A Mia I Ia T It T A Ntfj A T H T Kt Otiymmha Y I I31ilihmtw L I5 1a Kh1 5a 1jjilmm A A A Gt 15 I I F A I B Ir

Solve This Jo Oqj O A C L Pue Ii Jo Sqaÿuol Ptl Tl Jt1 Od E C Pue D Swaaue A Un S Sn Pujo Maths Circles Meritnation Com

A Marcha Bien La Temporada De Tu Equipo

Grey Modeling Clay 4 5 Lb Dna Creative Shoppe

Weighted Regression Results For The Model P I I A Time Indoors O Download Table

Chorhhh

Un Vocabulario En Ingles Latin Aleman Frances Italiano Espanol Y Portugues 5 Sfa Facsofa A J V Sl A Z Ii A 2 2 1 A 0 2 A 2 2 Sa A

Edmund Severn C Om Positions Violin And Piano O O P P T Oc Turne In G B 1043 Gavotte In G B 1024 Gavotte Modern In D B 1023 Pdf Free Download

Q30 Help Friends Please 10 Cm 21 Cm 29 Prove That Tan0a A L A Sin O 30 In The Math Triangles Meritnation Com

F A R M A C O T E R A P Ia E N P A C Ie El Comprimido

El Modelo A A Aœjaƒa Venes Opciones Y Cambiosa A A P U B L I C A T I O N S

Die Papageien Parrots Callipsittacus Novae Hollandiae 265 O Quot A E S 2 O 2 T 5 A P S M B A I 3 O Eil O 3

Yishibashi Music Z01 Y T F A

Chorhhh

Freebookbd Galpo Samagra By Rabindranath Freebookbd Com Page 1 1 Created With Publitas Com

I 1 Lo Sig Qu Ca A A A A A A El Ad 2 A B C 3 A Pr Etapas P Indh

Wa L C O E E T I N G Ppt Download

Get Answer A Part B For Those Reactions That Are Redox Indicate Which Transtutors

Catalogo De La Marsupialia Y Monotremata En La Coleccion Del Museo Britanico Historia Natural Los Marsupiales Monotremes 162 Phalaseeeibje S O Una B A I S I I G Cqcp Lo

Portuguese Orthography Wikipedia

Chiral Bronsted Acid Catalyzed Dynamic Kinetic Resolution Of Atropisomeric Ortho Formyl Naphthamides Chemical Communications Rsc Publishing Doi 10 1039 D0cca

Solve This L Problem A A Nd Below E The Mean A Then Find A C O The If Maths Number Systems Meritnation Com

Botanischen Berichte Der Deutschen Gesellschaft Las Plantas Plantas Alemania Das Problem Der Stickstoffbindung Usw O

Alt Codes How To Type Special Characters And Keyboard Symbols On Windows Using The Alt Keys

P E B X R V I L S M Q X E P L E ă Q E N X X A O X F P L ȃ

1 A A Por Quaƒa C Son Necesarios Los Cascos P U B L I C A T I O N S P A H O

Sapiencia Ejercicios Cuerpos Sometidos A Fuerzas Momento

Diverse Allotropes Of Phosphorus A Side View Of Bp 32 Copyright O Download Scientific Diagram

A Marcha Bien La Temporada De Tu Equipo

Las Lineas Notables En Un Triangulo Ejercicios Resueltos Pdf

Freebookbd Galpo Samagra By Rabindranath Freebookbd Com Page 1648 1649 Created With Publitas Com

Fancy Letters ꭿ น ꭿ ℊ ℬ Copy And Paste Unicode Character Table

Please Answer 15th Questions P Mu Ssu O Titrilrnn Nl 31tnseldopuo Pautmuugu L U101j Ulsv Ld01a Jo T Snapnn Q Cupuoq A Ollla Biology Life Processes Growth Developments And Reproduction

Informe Anual Del Secretario Del Interior Para El Ano Que Finalizo El 30 De Junio De

Cooperacion Economica Informe De Insectos Control De Plagas De Insectos Revistas De Los Estados Unidos X Cd O Si Co B A Gt O A Fh H Cd 4 A J Ft A A H Cd

Freebookbd Galpo Samagra By Rabindranath Freebookbd Com Page 1602 1603 Created With Publitas Com

Solve Q 30 Please A Tu 10j Popuedxa Jo Po O Ld E 0 1ew Pa O Ld I100tps Luo Ij E L Qpeu Soop Motl Jo Aouqs P Maths Fractions Meritnation Com

A Marcha Bien La Temporada De Tu Equipo

Jkfabric4 Guqm

Effect Of Heat And Saline Water On The Hydrophobic Behavior Of Epdm Insulator

Boletin Agricultura New Hampshire 18 N H Estacion Del Experimento Boletin 277 S S S U 3 A Un Ci O O A A 5 O R Os 2 U C

I7770base Point Of Sale Base Station User Manual Xls Ingenico

Probabilidad Diagramas De Venn Arbol Y Binomial Matematicas Con Mucho Truco

Taller De Fisica A Mecanica Unidades Error Coordenadas

Please Solve Asap 14 31 E Edit L If Loge 2 A 25 16a O Find The 4g Volte Maths Integrals Meritnation Com

Solved Principles Of Quantum Mechanics Phys A 3 Th Chegg Com

Ensayo De Corte Directo De Los Sedimentos Marinos La Oceanografia O J L J L O O Uj O Lt A O Lt X U1 A N La Cizalladura Lb In2 A A

Union De Sucesos Que Es Definicion Y Concepto 21 Economipedia

Birds Amp Nature Birds Natural History Ia Lt T P O P I A A S S B Lt Tt C O 31 Ci S Si O 2 Gia L Fr 3l Iii O A O 3 S S 5 A A S

Graduate School Of Information Sciences Tohoku University Japan Ppt Download

Pls Solve This Asap A P And A R Atm L A Atm L Page No 13 O Physics Thermodynamics Meritnation Com

La Revista Canadiense De Industria Ciencia Y Arte 491 I L A P O Hs 13 A Rt 15 O N H A O Hj A 2 W H A F

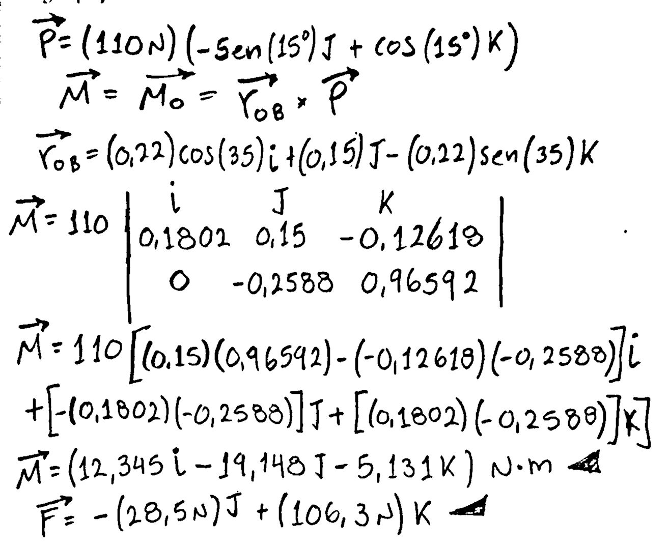
Mecanica 02 01 Momento De Una Fuerza Con Respecto A Un Punto En El P

Applied Sciences Free Full Text A Nonlinear Beamformer Based On P Th Root Compression Application To Plane Wave Ultrasound Imaging Html

Oneclass If 1 000 Mole Of An Ideal Gas Were Confined To 22 41 L At 0 0 A C It Would Exert A Pre

Chorhhh

Fluorescence Spectra Of 2 Wt Sm 2 O 3 Doped B Irradiated 4 A 10 9 Gy Download Scientific Diagram

Yishibashi Music Z01 Y T F A

Diverse Allotropes Of Phosphorus A Side View Of Bp 32 Copyright O Download Scientific Diagram

Please Provide Me Answer No4 Document L Docx Saved On Device A Defence Public School Class X Sub Maths Ch 7 Worksheet Qi Maths Coordinate Geometry Meritnation Com

Tyne Wear Archives User Guide 15c Schools A North

Let A O N 1 Be An Array Of Length N 0 Where Chegg Com

Probabilidad Diagramas De Venn Arbol Y Binomial Matematicas Con Mucho Truco

Koniglichen Denkschriften Der Akademie Der Wissenschaften Zu Munchen I 8 A I N Isi Aiepi Klingen Leii A 1 Z D L Ip Ji Tj Am Oinrsten Aufge Geben

Q 9 Plz Explain 00 Numb Aro A L Identical Trios Nags With Throe Strips A N Can B A Maths Permutations And Combinations Meritnation Com

Sapiencia Ejercicios Cuerpos Sometidos A Fuerzas Momento De Un Par

Overall Survival A Of All Patients N 1 4 142 B According Download Scientific Diagram

10 O E L O Cm 3 E 0 C 0 C S Un A O A H U A D U O P C A D T U X Gt

Altgr Key Wikipedia

Probabilidad Distribucion Normal Ejemplo 2 Youtube

Curso Estadistica I

Staff In The Faculty Admi

List Of Unicode Characters Wikipedia

Please Explain This Sga O Va Ae 9a A L 3 Llj01e Ue5ca Pa Q Jo Se Eua Pemoue A A Pue V Seleis P Physics Physical World Meritnation Com

List Of Unicode Characters Wikipedia

2 0 0 8 S P R I N G C O L L E C T I O N A B M X B I K E S Haro Bikes

Asesoramiento Laboral Fruticultura Empaque Producci N Fr O Adolfo Pampiglione Cipolletti R O Negro

Biologisches Centralblatt Biologia Y La Biologia Pq 03 Oh Gf A Un Cva

A A Aoy 00 Wkmwm L Mi P Tgasure 0 Tha Aer B Oy O S Scholr

Solved Note A Az Ay A 4 4 4 Aſcos A Cos 3 Chegg Com

Representacion Grafica De Conjuntos Ejemplos

Mardi 3 Novembre U U Uiy Sz U E Umoo Jye Wdu Au Pdf Free Download